ER-Tracker Red (BODIPY™ TR Glibenclamide), for live-cell imaging 内质网红色荧光探针(活细胞成像用)
| 英文名 | ER-Tracker Red (BODIPY™ TR Glibenclamide), for live-cell imaging | ||
| 产品编号 | FS1342 | ||
| 产品分类 | 荧光探针及染色 | ||
| 纯度 | 1 mM | 储存条件 | -20℃ |
产品简介
ER-Tracker探针是一系列具有细胞膜透过性,对活细胞内质网具有高度选择性的探针,不像传统的DiOC6(3),该系列探针几乎不对线粒体着色,且在较低浓度即可实现对内质网的染色,且对细胞几乎无毒性。使用以下提供的优化步骤对活细胞染色后用醛固定,可以部分保留活细胞的染色特征。
本品为,由红色荧光染料BODIPY® TR和 Glibenclamide 偶联而成,其Ex= 587 nm,Em= 615 nm。格列本脲(Glibenclamide, glyburide),一种常用降血糖药物,在胰岛β细胞、胰岛素的分泌、心肌衰竭细胞功能以及心律不齐的研究等方面具有重要科研用途。格列本脲高度结合ATP-敏感型K+通道的磺脲受体,且本受体富集存在内质网上,因此适合用作内质网荧光探针。
本品为溶于DMSO的1 mM 浓度ER-Tracker Red (BODIPY® TR Glibenclamide)储存液,推荐工作浓度为~1 μM。我司还提供了ER-Tracker Red 稀释液,使ER-Tracker Red的使用更加便捷。按照1:1000的比例稀释,每10µl可以配制10ml ER-Tracker Red工作液;按照1:3000的比例稀释,每10µl可以配制30ml ER-Tracker Red工作液。
产品组成
|
名称 编 号 |
FS1342-20ul |
FS1342-100ul |
Storage |
|
ER-Tracker Red内质网红色荧光探针 |
20ul |
20ul |
-20℃干燥 |
|
ER-Tracker Red稀释液 |
60ml |
250ml |
-20℃ |
|
使用说明书 |
1份 |
||
基本特性
分子式(Formula):C44H42BClF2N6O7S2
分子量(Molecular Weight):915.23
Ex/Em:587/615 nm
图1.ER-Tracker Red的激发光谱和发射光谱。
滤片(Filter):TRITC
外观(Appearance):液体
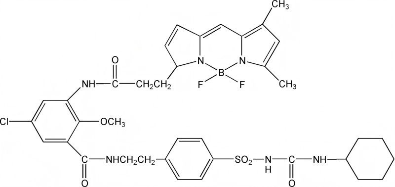
结构式:
图1.ER-Tracker Red的化学结构式。
溶解性:溶于DMSO(1mM)
运输储存条件:冰袋运输。≤-20℃避光干燥保存,至少六个月有效。避免反复冻融。
使用方法(以下步骤仅做参考,具体请根据实际情况或参考文献资料来调整。)
使用前,先将本品取出回温至室温,并对其进行简短离心使DMSO溶液集中于管底。最佳工作浓度需根据不同的实验要求、细胞类型、细胞或组织的膜通透性等进行优化。
1、ER-Tracker Red工作液的配制:
(1).取少量ER-Tracker Red按照1:1000的比例加入到ER-Tracker Red 稀释液中。例如取1μl ER-Tracker Red加入到1ml ER-Tracker Red 稀释液中。混匀后即为ER-Tracker Red工作液。
(2).ER-Tracker Red工作液使用前需37℃预温育。
[注]:工作液中ER-Tracker Red的浓度可以根据实际情况进行适当调整,推荐的稀释比例调整范围为1:1000-1:3000。为降低背景,在染色效果可以接受的范围内,建议尽量使用较低浓度的ER-Tracker Red。
2、内质网的荧光标记:
(1).去除细胞培养液,用适量的溶液如HBSS with Ca2+ & Mg2+ (Hanks' Balanced Salt Solution with Ca2+ & Mg2+)(CAT#FS0395)洗涤生长在盖玻片上的细胞。
(2).去除洗涤液,加入步骤1配制好的并37℃预温育的ER-Tracker Red染色工作液,与细胞37℃共孵育15-30分钟。
(3).去除ER-Tracker Red染色工作液,用细胞培养液洗涤细胞1-2次。
(4).随后通常用荧光显微镜或激光共聚焦显微镜进行观察。此时可观察到内质网呈明亮的强荧光染色。
(5).如果经ER-Tracker Red染色后的细胞需要进行固定,可以使用4%甲醛37℃固定2分钟。固定后用适当的洗涤液洗涤2-3次,每次5分钟,随后可以进行复染或滴加适当的抗荧光淬灭封片液,最后封片观察。
[注]:ER-Tracker Red染色的细胞不能用Triton X-100通透,Triton X-100通透处理会导致ER-Tracker Red的荧光染色消失。
注意事项
(1)荧光染料均存在淬灭问题,请尽量注意避光,以减缓荧光淬灭。
(2)为了您的安全和健康,请穿实验服并戴一次性手套操作。
相关产品
|
货号 |
产品名称 |
规格 |
|
FS1339 |
LysoTracker Green DND-26溶酶体绿色荧光探针 |
50ul |
|
FS1340 |
LysoTracker Blue DND-22溶酶体蓝色荧光探针 |
50ul |
|
FS1341 |
LysoTracker™ Red DND-99 溶酶体红色荧光探针 |
50ul |
|
FS1342 |
ER-Tracker Red (BODIPY™ TR Glibenclamide), for live-cell imaging内质网红色荧光探针(活细胞成像用) |
20ul |
|
FS1343 |
ER-Tracker Green (BODIPY™ FL Glibenclamide), for live-cell imaging 内质网绿色荧光探针(活细胞成像用) |
20ul |
|
FS1344 |
ER-Tracker Blue-White DPX, for live-cell imaging |
50ul |
常见问题及解答FAQ
Q: 请问HBSS 里面的钙镁离子在里面起到什么作用?
A: 有利于维持细胞状态,利于后续的染色。
Q: 请问固定后的死细胞还能染上吗?
A: 该探针主要染的是活细胞的内质网,固定样本基本染不上色。
Q: 染色之后可以加抗荧光淬灭剂防止荧光淬灭吗?
A: 活细胞的染色,不需要加抗荧光淬灭封片液。
Q: 固定后的荧光还会淬灭么?或者说可以维持多长时间?
A: ER-Tracker Red 按照后附的使用说明染色后,用甲醛等固定后染色效果可以被部分保留, 荧光均会有淬灭的现象的。具体的荧光维持时间这边没有具体数据可参考。
Q: 请问 mito-tracker green 和 ER-traker red 是同时染还是分开依次染,染完后荧光可持续多久(也就是在多长时间内还可以检测)?
A: 建议分开依次染色,荧光均存在淬灭的现象,染色完建议尽快在1-2h内完成检测。